网校动态网校名师网校课程网校帮助学员心声课件更新免费试听招生方案快速选课  

房地产评估师真题:某旧商业综合楼,装修改造完成后租期尚有5年

来源:建设工程教育网  投稿人:  时间:2014-03-06   浏览次数:




 房地产评估师真题:某旧商业综合楼,装修改造完成后租期尚有5年

 2011年房地产估价师理论与方法》真题判断题第10题

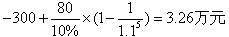
  10.某旧商业综合楼,装修改造完成后租期尚有5年,承租人有两种装修改造方案:一是重新装修但不改变用途,装修费为180万元,每年净收益比装修前增加50万元;二是重新装修且改变用途,装修费为300万元,每年净收益比装修前增加80万元。假定报酬率为10%,则承租人应选择第二个方案。(  )
【正确答案】错误
【建设工程教育网权威解析】
第一种增加价值2011年房地产估价师《理论与方法》真题判断题第10题
第二种增加价值2011年房地产估价师《理论与方法》真题判断题第10题

tags:



关于我们 | 联系方式 | 建工网校 | 建设工程教育 | 客服QQ | 网站导航 | 百度地图

严正声明 | 版权所有 建工网

豫ICP备14002508号-2 | 内容勘误邮箱:jsgc1618#126.com(为了防止垃圾邮件,请将#替换为@)